
현재의 오디오 상황은 하이엔드와 PC-FI가 공존하는 듯하다. 오디오 소스기기로는 DSD와 24비트/192kHz 음악 파일을 재생할 수 있는 파일 플레이어가 주력 기기로 대두되고 있다. 하지만 오디오 앰프 부분은 아직도 또 먼 미래에 있어서도 반도체 및 진공관을 사용한 형태가 그대로 유지·발전될 전망이다. 이번 연재를 통해 오디오 기기의 근간이 되는 트랜지스터, FET 및 OP AMP를 사용한 반도체 오디오 앰프에 대한 이해와 이를 사용해 앰프 및 소스기기를 설계·제작하고자 하는 분을 위한 기술적 토대를 제공코자 한다. 가급적 수식은 자제하고, 평이하게 기술해 누구라도 쉽게 이해할 수 있도록 했다.
제1편 오디오용 OP AMP
OP AMP는 Operational Amplifier의 준말로, 번역하면 연산 증폭기라 할 수 있다. 앰프라는 이름 때문에 좀 혼동을 일으킬 수도 있는데, 이는 하나의 부품 소자로 보통 IC와 같은 모습을 하고 있다. OP AMP의 원형은 알란 블룸레인(Alan Blumlein)이 1936년에 진공관을 사용해 만들었다. 두 개 진공관의 캐소드를 공통 저항을 통해 접지한 형태의 것이었다. 본격적인 OP AMP는 1965년에 페어차일드에서 나온 uA709란 반도체를 사용한 OP AMP가 나오고 나서부터이다. 지금도 범용적으로 가장 많이 사용하는 LM741이 IC 형태로 나오고 나서 본격적인 OP AMP의 확산이 시작되었다. 하지만 LM741은 슬루 레이트(Slew Rate)가 0.5V/㎲ 밖에 되지 않아 20kHz의 오디오 대역을 충족하지 못해 오디오용으로 사용은 되지 않았다.
OP AMP가 오디오용으로 사용되기 시작한 것은 1970년대 후반에 J-FET 소자를 사용한 TL072와 지금도 많이 사용하는 NE5532가 나오고 나서부터이다. 이후 오디오용으로 사용할 수 있는 OP AMP가 속속 등장했는데, 현재는 CD, DVD, 블루레이 플레이어와 파일 및 네트워크 플레이어, 그리고 D/A 컨버터의 D/A 변환 이후 I/V 변환 및 전압 증폭, 임피던스 매칭용으로는 거의 대부분 OP AMP를 사용하고 있다. 또한 PC-FI 기기, 특히 헤드폰 앰프의 전압 증폭 용도로 사용되고 있으며, 이외에도 라인 앰프 및 멀티 앰프 구동을 위한 채널 디바이더 등에도 폭 넓게 사용되고 있다. 프로용으로는 오디오 믹서 등에도 많은 OP AMP가 사용된다. 
1. OP AMP의 특성
OP AMP는 한 개의 차동 입력과 대개 한 개의 단일 출력을 가지는 직류 연결형(DC-Coupled) 고 이득 전압 증폭기이다. 하나의 OP AMP는 그 입력 단자 간의 전압 차이보다 대개 백 배에서 수 천 배 큰 출력 전압을 생성한다. 즉, 이득이 매우 높다. 또한 이득과 같은 최종 요소의 특성이, 온도 변화와 OP AMP 자체의 불균일한 제조 상태에 거의 의존하지 않고, 외부 부품(Component)에 의해서 설정되기 때문에 회로 설계에서 자유도가 높다.
OP AMP의 회로적 표현은 <그림 1>과 같고, 각 기호의 의미는 <그림 1>의 설명과 같다. 회로의 해석 과정에 중요한 영향을 미치지 않을 경우 공급 전압 기호는 생략되는 경우가 있다.

이상적 OP AMP는 다음 특성을 갖는다. 즉, 이득은 무한대. 대역폭도 무한대. 위상차는 없으며, 슬루 레이트는 무한대로 커서 고주파 특성도 우수하고, 입력 임피던스도 무한대로 커서 어떤 입력이든 받을 수 있다. 한편 출력 임피던스는 0이어서 어떤 부하이든지 구동하기 쉽다. 입력 전류는 0. 오프셋 전압도 필요 없으며, 잡음도 0. 또한 공통 모드 제거비(CMRR)와 전원 전압 제거비(PSRR)도 무한대여서 공급 전압의 리플이나 잡음의 영향을 받지 않는다. 이를 표로 정리하면 <표 1>과 같다.

OP AMP는 내부 사용 반도체에 따라 바이폴라 트랜지스터형과 FET형으로 나누어진다. 바이폴라형의 것으로 오디오용으로 많이 사용되는 것은 NE5532이며 FET형은 TL074이다.
OP AMP의 2개의 입력은 차동 입력으로, 바이폴라형은 베이스(Base), FET형은 게이트(Gate)로 구성된다. OP AMP가 동작하기 위해서는 이 입력 단자에 바이어스(Bias) 전류가 흘러야 하는데, 바이폴라형은 보통 수 ㎁(Nano Ampere)에서 수십 ㎁, FET형은 이보다 1/1000 정도 적어, 수 ㎀(Pico Ampere)에서 수 십 ㎀의 전류가 필요하다.
또한 IC 패키지 하나에 몇 개의 소자가 들어가 있는 가에 따라 싱글, 듀얼 및 쿼드 형으로 나누어진다. 오디오용으로는 스테레오 2채널에 사용하는 경우가 많으므로 듀얼형이 가장 많이 사용된다. <그림 2>는 싱글, 듀얼 및 쿼드형의 모습과 핀 배치를 나타내었다.

외형적으로는 보면, 일반적인 것은 플라스틱 몰드에 들어간 것이지만, 고급 오디오용 등으로 금속 캔형도 있다. 현재는 리드 홀 타입보다는 표면 실장형(SMD)의 패키지가 더 일반적이다.

가. 입력 오프세트(Offset) 전류
OP AMP는 차동 입력으로 되어 있기 때문에 이론적이라면 비반전 및 반전의 두 개의 입력이 접지되어 있는 것 등과 같이 전압 차이가 없다면 출력도 0으로 되어야 하지만, 실은 그렇지 않고 +이든 -이든 어느 하나로 치우친 전압 값이 나오게 된다. 이런 현상을 오프세트라고 하는데, 이는 입력 전류에 기인하는 경우와 입력 전압에 기인하는 경우가 있다.
우선 입력 전류에 따른 오프세트를 설명하기 위해 <그림 3>과 같이 저항을 통해 두 개의 입력이 접지되어 있는 경우를 보자. 이 두 개의 입력에 연결된 저항치가 완전히 같은 값을 가지고 있다고 해도 OP AMP의 내부의 소자의 미세한 차이에 의해 두 입력 단자에 흐르는 전류도 차이가 발생한다. 이 두 개의 입력 단자에 흐르는 바이어스 전류의 차이를 입력 오프세트 전류 IIO라고 하며, IIO = IB1 - IB2 로 계산된다. 여기서 IB1은 반전 입력 바이어스 전류이고, IB2는 비 반전 입력 바이어스 전류이다.

이 입력 오프세트 전류는 일반적으로 입력 바이어스 전류의 1/10 정도이다. 이 입력 오프세트 전류에 의해서 출력단에 전압 △V0가 발생하게 되는데, 이를 오프세트 전압이라고 하며, 이 오프세트 전압이 생기지 않도록 해야 한다. 가장 대표적인 OP AMP인 741의 경우를 예로 들어 <그림 4>를 통해 오프세트 전압이 생기는 현상을 알아보자. 여기서 오프세트 전류는 20㎁라고 하고, 귀환 저항 R2를 500KΩ이라고 할 때 △V0 = 20×10-9×500×103 = 0.01V, 즉 출력단에는 10㎷의 오프세트 전압이 나타난다. 이 정도의 오프세트 전압은 후술하는 오프세트 전압 조정을 한다면 문제없이 사용할 수 있다.

이 오프세트 전압을 줄이기 위해서는 귀환 저항의 값을 M(메가) 단위로 크게 하는 것을 피해야 하며, 양 입력의 저항을 정밀급 저항으로 사용해야 한다. 출력단에 직류 전류가 흐르는 것을 방지하기 위한 커플링 콘덴서를 넣는 경우에는 어느 정도의 오프세트 전압이 나와도 큰 문제가 되지 않는다.
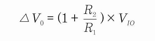
나. 입력 오프세트 전압
OP AMP에는 입력 오프세트 전류 이외에도 내부 소자의 불균형 때문에 출력 오프세트 전압 △V0가 생긴다.

다음 식으로 계산되며, 여기서 R1은 입력 저항, R2는 귀환 저항이다.
예를 들어 <그림 5>와 같이 741의 입력 오프세트 전압이 2㎷이고, R1은 50KΩ, R2는 500KΩ이라고 할 때 출력 오프세트 전압 △V0는 22㎷가 생긴다. 이는 다음 식으로 계산할 수 있다.


이 출력 오프세트 전압은 이득이 클수록 더 많이 나타나게 된다. 이를 없애기 위해서는 <그림 6>에서 보는 바와 같이 외부에 반고정 저항을 오프세트 조정 핀에 붙여 출력 오프세트 전압을 0으로 만든다. 현재는 오프세트 조정 핀이 없는 OP AMP가 많으며, 특히 듀얼 이상의 것은 오프세트 조정 핀이 없는 것이 일반적이다. 따라서 출력 오프세트 전압을 되도록 줄이기 위해서는 최신의 OP AMP를 사용하는 것이 좋다. 입력 오프세트 전류에 의한 △V0와 입력 오프세트 전압에 의한 △V0는 출력단에서 중첩해서 나타나게 되는데, 입력 오프세트 전류에 의한 영향이 좀더 크므로 이 부분에 좀더 주의를 기울여야 한다. 오프세트 조정을 할 수 있는 OP AMP는 종류에 따라 +전압을 가해 주는 것과 -전압을 가해 주는 것이 있으므로 데이터 시트를 참조해서 설계해야 한다.

다. 이득의 설정
OP AMP의 오픈 루프 이득은 90-100dB 정도로 아주 높지만, 실제로 사용하는 이득의 값은 이보다 훨씬 낮으므로 원하는 이득은 다음 식에 따라 설정해서 사용한다. 실 사용 시 이득은 입력 저항 R1과 귀환 저항 R2의 비율로서 결정된다.

설계에 앞서 먼저 어느 정도의 이득이 필요한지를 결정한다. 예를 들어 10배의 이득이 필요하다면 R1 : R2 = 1 : 9가 되면 이득은 10배를 얻을 수 있다. 이때 R1과 R2를 100Ω과 900Ω으로 할 것인지 10KΩ과 90KΩ으로 할 것인지는 입·출력 임피던스, 입력 오프세트 전류 등의 영향을 고려해서 결정한다. 일반적으로 R1은 1-50KΩ, R2는 10-500KΩ에서 정한다.

이득 설정에 있어 수십 배의 이득 설정은 위의 식을 사용하면 되지만 이득을 100배 정도로 크게 하려면 주파수 특성에 주의해야 한다. 이득이 크게 될수록 사용할 수 있는 주파수 대역은 좁아지는데, 이는 <그림 8>과 같이 이득 및 주파수 특성과 슬루 레이트가 연관 관계가 있기 때문이다. 비교적 낮은 주파수부터 6dB/oct 정도의 슬로프로 얻을 수 있는 이득이 내려간다. 자세한 것은 뒤의 슬루 레이트 편에서 설명한다.

라. 슬루 레이트
OP AMP의 주파수 특성을 표시하는 것으로 FT가 있다. OP AMP의 오픈 루프 이득은 매우 크지만, 이는 주파수가 낮을 때의 경우이고, 주파수가 높아짐에 따라 점차 오픈 루프 이득은 점차 작아지게 되는데, 어느 한계에 이르러서는 전혀 증폭을 할 수 없게 된다. 이렇게 증폭을 할 수 없는, 즉 이득이 1에 이르는 주파수를 트랜지션(Transition) 주파수 FT라고 하며, OP AMP의 성능을 나타내는 주요한 요소이다. 최근에는 Unity Gain Bandwidth라는 표현을 더 잘 사용한다. 즉, 이득이 1인 곳까지의 주파수 대역폭을 의미한다.
NE5532의 경우 FT는 10MHz이다. 따라서 오디오 가청 주파수인 20kHz를 크게 넘기 때문에 오디오용으로 훌륭하게 사용될 수 있음을 의미한다. 넓은 주파수 대역에서 평탄한 이득을 얻기 위해서는 FT가 큰 수치의 것을 사용해야 한다.
그러나 또 하나의 제약 조건이 있다. 입력되는 신호의 세기가 작을 때는 주파수 특성이 좋지만, 어느 이상 입력 신호의 크기가 커지고 따라서 출력되는 신호의 크기가 커지면 주파수 특성이 나빠지게 된다. 이런 관계를 나타내는 것이 슬루 레이트로, 전압의 변화를 시간의 비율로 나타낸 것으로, 단위는 V/㎲로 표시한다.
NE5532의 경우 9V/㎲인데, 이는 1/1000000초 당 9V가 변화될 수 있음을 나타낸다. 이 슬루 레이트가 작으면 신호의 변화가 작을 때는 잘 증폭이 되지만, 어느 한계를 벗어나면 왜율(Distortion)이 발생하게 된다. 따라서 다이내믹 레인지가 큰 오디오 회로에서 사용하는 경우는 어느 정도의 슬루 레이트율을 가진 OP AMP를 선택해야 한다.
그러나 슬루 레이트율이 크고 FT가 큰 OP AMP를 무작정 선택하는 것은 좋지 않다. 왜냐하면 이런 OP AMP들은 발진하기 쉽기 때문이다 그래서 목적하는 주파수와 슬루 레이트를 만족하는 것 중에서 적절한 것을 골라 사용하는 것이 바람직하다. 슬루 레이트율이 높은 OP AMP를 사용하는 경우에는 발진을 일으키지 않도록 회로 패턴을 잘 설계하고, 전원 임피던스를 최대한 낮추어야 한다. 전원 임피던스를 낮추는 방법으로는 전원선을 짧게 하고, 필름 콘덴서를 출력단에 사용하는 방법 등이 있다.
마. 입·출력 임피던스
OP AMP의 입력 임피던스는 매우 높아서 사용하기 쉽다. 일반적으로 증폭 소자는 입력 임피던스는 높을수록, 출력 임피던스는 낮을수록 회로 설계하기가 쉬운데, OP AMP의 경우 바이폴라의 형식의 것은 수 MΩ이상이고, FET의 형식의 것은 1012Ω 정도로 높다. 그렇기 때문에 OP AMP에 붙이는 입력 저항이 실질적인 입력 임피던스가 된다. 여기서 입력 용량의 값은 아주 작기 때문에 고려하지 않아도 된다. 특히 FET 입력의 OP AMP는 입력 저항의 값을 크게 해도 되지만 열탄산 잡음이 발생하기 쉽고, 오프세트 전압에 미치는 영향도 커지기 때문에 대략 100KΩ 이하에서 사용하는 것이 안전하다.
출력 임피던스는 대략 수 Ω에서 수백 Ω 정도이지만, 이는 오픈 루프 때의 경우이고, 실제 사용하는 경우는 다음의 식과 같이 얻어진다. 여기서 R1은 입력 저항, R2는 귀환 저항, Av는 오픈 루프 게인, Z는 오픈 루프 출력 임피던스이다.

여기서 ( R1+R2)/R1는 클로즈드 루프 이득인데, 이 값이 낮아질수록 실제의 출력 임피던스는 낮아진다. 예를 들어 R1은 5KΩ, R2는 500KΩ이라고 하면 클로즈드 루프 이득은 100이 된다. 오픈 루프 이득이 50000이고, 오픈 루프 출력 임피던스가 100Ω이라고 하면 실제의 출력 임피던스는

이라는 극히 낮은 값을 얻게 된다. 이 가정은 오픈 루프 입력 임피던스가 무한대라는 가정에서 나온 것이지만, 실제 OP AMP의 오픈 루프 임피던스 값은 충분히 높기 때문에 큰 문제가 없다. 이 식의 적용은 비 반전 입력의 경우나 반전 입력 경우나 마찬가지로 적용된다.
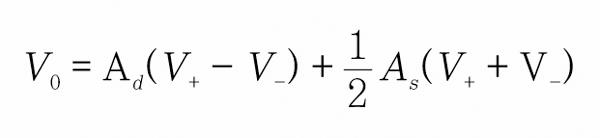
바. 공통 모드 제거비(CMRR)와 전원 전압 제거비(PSRR)
공통 모드 제거비(CMRR : Common-Mode Rejection Ratio)는 OP AMP가 두 입력(+ 및 -)에 공통되는 신호가 들어오는 경우 이를 통과시키지 않고 거부하는 정도를 나타낸다. 높은 값의 CMRR은 오디오로서의 응용에 있어서 중요한데, 특히 밸런스 전송을 하는 경우에 더욱 그러하다. V+와 V-의 입력을 가지는 OP AMP의 출력은 V0 = Ad(V+ - V-)이다. 여기서 Ad는 OP AMP의 이득이다. 그러나 실제 출력은 다음과 같다.

여기서 AS는 공통 모드 이득인데, 보통 차등 이득보다 훨씬 작다. CMRR의 단위는 데시벨(dB)이고, 다음과 같이 정의한다.

CMRR은 공통 모드 신호가 출력단에 얼마만큼 나타나는지 보여주는 척도이기 때문에 매우 중요한 특성이다. CMRR의 크기는 신호의 주파수와 함수와 관련이 있다.
한편 전원 전압 제거비(PSRR : Power Supply Rejection Ratio)는 OP AMP의 전원 공급 핀에 들어가는 전압의 변화가 출력단에 나타나는 비율로 정의하는데, 단위는 데시벨(dB)를 사용하고, 다음과 같이 정의한다.

이를 측정할 때는 기준 전압에 교류 전압인 60Hz와 이의 2배수인 120Hz의 주파수 성분을 넣어 출력 측에서 얼마나 이 상용 교류 전압 성분이 나타나는지를 알아본다.
OP AMP를 사용할 때 가정에 공급되는 60Hz의 교류 전압을 정류해서 사용하는 경우가 많으므로 이 값이 높을수록 공급되는 전원에 포함되는 리플 노이즈에 의한 영향을 적게 받으므로 오디오적으로 더 좋은 성능을 내준다고 할 수 있다.


